消费者实验被广泛应用于分析消费者对样品的态度,以确定消费者是否更喜欢某一种食品。实验不需要详细评定食品的某些感官特征,而只是一个综合的印象和个人喜好。
02实验材料和用具
实验材料可以是两种不同企业生产的同一类型的食品,如饮料、巧克力或者火腿肠等,也可以是同一企业内部开发的新产品与老产品。
03 实验内容
向消费者提供两种食品,可以下列两种不同的方法进行鉴定:
(1)由左至右鉴定两个食品,进行综合评定,对于更喜欢的食品,将符号“√ ”填入方框中。必须有一个选择。例如:

(1)应用t值表进行统计分析。
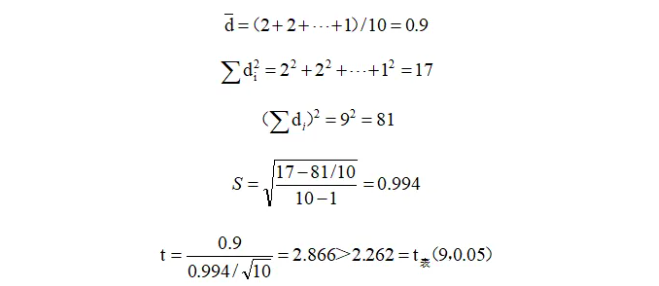
(2)应用t分布表进行配对食品统计分析。

例如,调查 A、B两种食品的消费者喜爱程度,结果见表1。
表1 食品喜爱程度调查表


所以对于食品 A和 B,消费者更喜欢食品 A。
05 实验报告
(1)应用上述两种方法分析实验数据。
(2)比较讨论由上述两种方法求得的实验结果。
参考书籍:李莉 金鹏主编,《食品感官评定》第二版。
提醒:文章仅供参考,如有不当,欢迎留言指正和交流。且读者不应该在缺乏具体的专业建议的情况下,擅自根据文章内容采取行动,因此导致的损失,运营方不负责。如文章涉及侵权或不愿我平台发布,请联系处理。

