蜂蜜柠檬水是将柠檬压榨后,向其中加入蜂蜜和饮用水,调配后所制得而成的饮料。蜂蜜柠檬水因其制作方便、营养丰富、风味清爽及滋味独特而深受消费者青睐。尽管蜂蜜的种类繁多,每种蜂蜜都有其独特的风味和特性。本研究通过电子鼻、电子舌和电子眼技术对16种不同蜜源蜂蜜所制成的蜂蜜柠檬水的感官特性进行测定。

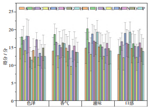
人工感官评定结果
人工感官评定小组由20人组成,以色泽、香气、口感和滋味为指标,取其平均值做为最终分数,详见表1。
表1 人工感官评分表


不同蜂蜜柠檬水人工感官评价结果如图1所示。从色泽感官特征方面看,不同蜂蜜柠檬水色泽差异较大,其中E柠檬水和B柠檬水颜色均匀、深浅适宜;而H柠檬水颜色过浅,L柠檬水颜色过深。在香气和滋味特征方面,B柠檬水评分均最高,香气较为浓郁、无不良气味、酸甜适宜;而L柠檬水香气和滋味特征上评分均最低。在口感方面,E柠檬水口感较好,而D柠檬水口感相对较差。B柠檬水人工感官评价总分得分最高,其次是E柠檬水感官评分较高;而L柠檬水感官评分最低,品质较差。总体看,蜂蜜本身颜色和气味可对蜂蜜柠檬水产生影响。
图1 人工感官评定图


电子眼数据分析结果
对16种不同蜜源所制成的蜂蜜柠檬水进行电子眼颜色分析,筛选占比大于5%的颜色作为样品的特征色号来进行后续分析.所有样品共提取到特征色号36个,色号范围介于2672~3820,如图2所示。16种不同蜂蜜柠檬水样本各提取到特征色号数目为1~6个。其中,G柠檬水仅提取到1个特征色号,特征色号数量最少;K和L柠檬水均提取到6个特征色号,特征色号数量最多。G和J柠檬水占比最大特征色号相同,为3801;I和M柠檬水占比最大特征色号相同,为3802;O和A柠檬水占比最大特征色号相同,为3784;其余蜂蜜柠檬水占比最大特征色号均不相同。虽然人眼难以区分样本间颜色的细微差异,但电子眼能够对样本进行色彩频谱组成分析,获得样本色泽的具体信息。
图2 基于电子眼分析的样品特征色号图


将全部蜂蜜柠檬水样品的电子眼数据进行主成分分析(PCA),如图3(A)所示。由图3(A)可知,识别指数为98,表明电子眼对蜂蜜柠檬水样品色泽具有较高的识别指数。I和M柠檬水样品色泽与特征色号3802和3803相关,G、N和J柠檬水样品色泽与特征色号3801、3529和3530相关;D柠檬水样品色泽与特征色号3785相关,如图3(B)所示。B、C、E、F和P样本分布在较近的区域,说明这5个样品较其他样品在色泽上差异较小。去除差异较大的蜂蜜柠檬水样本,再将B、C、E、F和P样本进行PCA,如图3(C)所示。由图3(C)可知,识别指数为100,样本均匀分散于图中,说明电子眼能够对色泽差异较小的样本进行区分和识别。上述结果表明,使用不同蜜源蜂蜜能影响蜂蜜柠檬水成品的色泽,且不同样品间的颜色差异能够使用电子眼将其准确分辨出。
图3 样品电子眼PCA图

电子鼻数据分析结果
利用电子鼻分析软件AlphaSoft对电子鼻数据进行分析,获得16种蜂蜜柠檬水气味数据,色谱峰主要集中在40~100s。通过16种蜂蜜柠檬水电子鼻气味指纹图谱(见图4),可直观观察不同样本气味的关系变化情况。对16种蜂蜜柠檬水的气味进行PCA,D和J柠檬水样本存在重叠,差异较小,无法准确区分。除去D和J柠檬水外,其余14种蜂蜜柠檬水PCA识别指数为100,样本不存在重合,说明14种蜂蜜柠檬水气味上的差异可以通过电子鼻实现区分,如图5所示。在PCA图中,样品间的相对距离越近,则样品整体气味越接近,而K、O和F柠檬水样品与其他样品的相对距离较远,表明这3种柠檬水与其他样品的气味差别较大;而除K、O和F柠檬水之外的其他柠檬水在图上的相对距离都比较接近,这说明这些蜂蜜柠檬水的气味分析结果较相似。香气上,L号样本远离其他样本,结合人工感官评价结果,其具有明显的不良气味,可能与荞麦蜂蜜本身具有刺激性气味有关。
图4样品电子鼻指纹图谱


图5样品电子鼻PCA图


电子舌数据分析结果
利用电子舌仪器对16种蜂蜜柠檬水进行味觉分析,AHS(酸味)传感器响应值为负数,其他6个电子舌传感器响应值为正值,表明电子舌传感器对蜂蜜柠檬水具有不同的响应,如图6所示。由图6可知,B和H柠檬水具有较高的苦味,而P柠檬水具有较低的苦味,B和I柠檬水具有较高的咸味传感器和鲜味传感器响应值,E柠檬水的咸味传感器和鲜味传感器响应值均最低,E和K柠檬水的甜味传感器响应值较低。总的来说,不同种类蜂蜜柠檬水的风味存在差异,可能是各滋味物质间协同发挥作用的结果。
图6样品电子舌分析图


16种蜂蜜柠檬水的滋味PCA图如图7所示。由图7可知,16种蜂蜜柠檬水的电子舌PCA识别指数为99,表明样本之间具有很好的区分度。E、H、B、I、O和K柠檬水分布距离较远,说明这6种蜂蜜柠檬水的口味差别最明显;F、L、A、M和P柠檬水等样本分布于原点附近,距离较近,表明其具有类似的滋味特点。B和H柠檬水分布于PCA图第3象限中,样本与SCS、NMS和CTS等传感器响应值有关。
图7 样品电子舌PCA图


结论
蜂蜜作为天然甜味物质,在柠檬产品开发中具有独特优势,本研究基于智能感官系统对蜂蜜柠檬水进行色泽、滋味和气味的系统分析。不同类型蜂蜜对蜂蜜柠檬水的风味产生了影响,而电子鼻、电子舌和电子眼技术能够识别蜂蜜柠檬水气味、滋味和色泽上的差异,将不同蜜源所制成的蜂蜜柠檬水进行区分。
来源:感官科学与评定,转载请注明来源。文章封面图片来源于创客贴会员。
参考文献:兰乾敏,时小东,王嘉,等.基于智能感官技术的不同蜜源蜂蜜柠檬水风味差异分析[J].成都大学学报(自然科学版),2025,44(02):138-143.
提醒:文章仅供参考,如有不当,欢迎留言指正和交流。且读者不应该在缺乏具体的专业建议的情况下,擅自根据文章内容采取行动,因此导致的损失,此公众号运营方不负责。如文章涉及侵权或不愿我平台发布,请联系小编。




